在 C++ 中將隨機指標指向連結串列右側的最大值節點
在這個問題中,給定一個帶值、連結指標和任意指標的連結串列。我們的任務是讓任意指標指向連結串列中其右側的最大值。
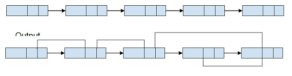
我們舉一個例子來理解這個問題,

在這裡,我們可以看到連結串列的以下任意指標,指向連結串列右側的最大元素。
12 -> 76, 76 -> 54, 54 -> 8, 8 -> 41
為了解決這個問題,我們需要找到節點右側的最大元素。為此,我們將反向遍歷連結串列,開始找到所有最大元素,然後在每個節點,我們的任意點指向我們維護的最大節點。
示例
程式展示了我們解決方案的實現,
#include<bits/stdc++.h>
using namespace std;
struct Node{
int data;
Node* next, *arbitrary;
};
Node* reverseList(Node *head){
Node *prev = NULL, *current = head, *next;
while (current != NULL){
next = current->next;
current->next = prev;
prev = current;
current = next;
}
return prev;
}
Node* populateArbitraray(Node *head){
head = reverseList(head);
Node *max = head;
Node *temp = head->next;
while (temp != NULL){
temp->arbitrary = max;
if (max->data < temp->data)
max = temp;
temp = temp->next;
}
return reverseList(head);
}
Node *insertNode(int data) {
Node *new_node = new Node;
new_node->data = data;
new_node->next = NULL;
return new_node;
}
int main() {
Node *head = insertNode(12);
head->next = insertNode(76);
head->next->next = insertNode(54);
head->next->next->next = insertNode(8);
head->next->next->next->next = insertNode(41);
head = populateArbitraray(head);
printf("Linked List with Arbitrary Pointer: \n");
while (head!=NULL){
cout<<head->data<<"->";
if (head->next)
cout<<head->next->data;
else
cout<<"NULL";
cout<<": "<<head->data<<"->";
if (head->arbitrary)
cout<<head->arbitrary->data;
else
cout<<"NULL";
cout << endl;
head = head->next;
}
return 0;
}輸出
Linked List with Arbitrary Pointer: 12->76: 12->76 76->54: 76->54 54->8: 54->41 8->41: 8->41 41->NULL: 41->NULL
廣告
資料結構
網路
RDBMS
操作系
Java
iOS
HTML
CSS
Android
Python
C 程式設計
C++
C#
MongoDB
MySQL
Javascript
PHP