如何使用 ggplot2 在 R 中建立條形圖,並在條形圖上顯示標籤?
使用 ggplot2 建立條形圖時,position="stack" 是 geom_bar 函式的一個引數,可以用來建立堆疊條形圖。如果想要建立堆疊條形圖,則需要使用 geom_text 函式,並使用相同的 position 引數和 aes 來定義標籤,如下面的示例所示。
示例
考慮 mtcars 資料 −
head(mtcars)
輸出
mpg cyl disp hp drat wt qsec vs am gear carb Mazda RX4 21.0 6 160 110 3.90 2.620 16.46 0 1 4 4 Mazda RX4 Wag 21.0 6 160 110 3.90 2.875 17.02 0 1 4 4 Datsun 710 22.8 4 108 93 3.85 2.320 18.61 1 1 4 1 Hornet 4 Drive 21.4 6 258 110 3.08 3.215 19.44 1 0 3 1 Hornet Sportabout 18.7 8 360 175 3.15 3.440 17.02 0 0 3 2 Valiant 18.1 6 225 105 2.76 3.460 20.22 1 0 3 1
示例
df<−data.frame(with(mtcars,table(cyl,gear))) df
輸出
cyl gear Freq 1 4 3 1 2 6 3 2 3 8 3 12 4 4 4 8 5 6 4 4 6 8 4 0 7 4 5 2 8 6 5 1 9 8 5 2
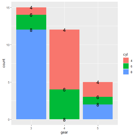
載入 ggplot2 軟體包並建立堆疊條形圖 −
示例
library(ggplot2)
輸出
ggplot(df,aes(gear,fill=cyl))+geom_bar(aes(weight=Freq),position="stack")+geom_text(position="stack",aes(gear,Freq,label=cyl),size=5)
輸出

廣告
資料結構
網路
RDBMS
作業系統
Java
iOS
HTML
CSS
Android
Python
C 程式設計
C++
C#
MongoDB
MySQL
Javascript
PHP