如何在base R中建立時間序列圖的垂直線?
要建立時間序列圖,我們可以簡單地對時間序列物件應用plot函式,如果我們想在該圖上建立一條垂直線,則可以使用abline函式和v引數。
例如,如果我們有一個名為T的時間序列物件,並且我們想建立一個在5點處有垂直線的T的時間序列圖,那麼在建立繪圖後,我們可以使用以下命令:
abline(v=5)
示例
要在base R中建立時間序列圖中的垂直線,請使用以下程式碼:
x<-ts(rpois(10,5)) x Time Series: Start = 1 End = 10 Frequency = 1
如果執行上述程式碼,則會生成以下輸出:
[1] 3 8 5 8 6 4 3 2 5 7
要在base R中建立時間序列圖中的垂直線,請將以下程式碼新增到上面的程式碼中:
x<-ts(rpois(10,5)) plot(x)
輸出
如果將以上所有程式碼作為一個程式執行,則會生成以下輸出:

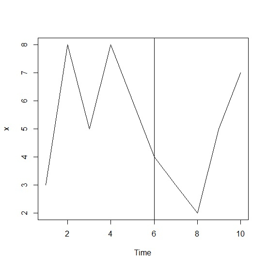
要在base R中建立時間序列圖中的垂直線,請將以下程式碼新增到上面的程式碼中:
x<-ts(rpois(10,5)) plot(x) abline(v=6)
輸出
如果將以上所有程式碼作為一個程式執行,則會生成以下輸出:

廣告
資料結構
網路
關係資料庫管理系統 (RDBMS)
作業系統
Java
iOS
HTML
CSS
Android
Python
C語言程式設計
C++
C#
MongoDB
MySQL
Javascript
PHP