Go語言程式:二叉樹的左檢視


在程式設計中,二叉樹的編碼問題在面試中經常被問到,問題陳述是找到二叉樹的左檢視。如果我們嘗試理解問題陳述中左檢視的確切含義,我們可以這樣解釋:站在樹的左側,所有可見的節點都構成左檢視。

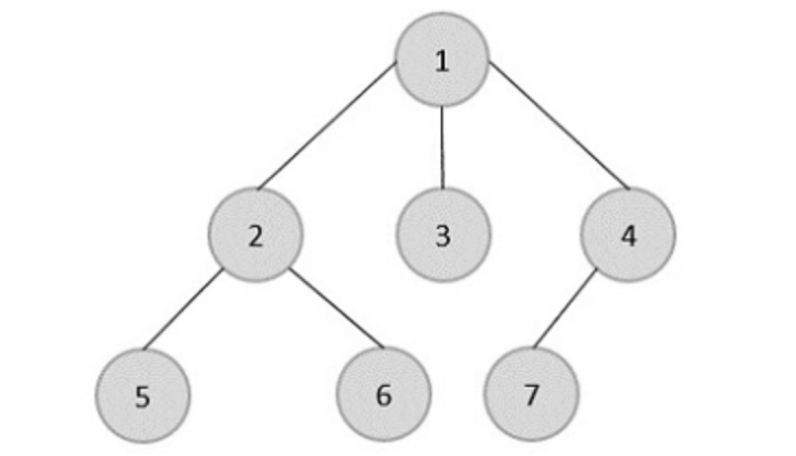
圖示

讓我們透過一個例子來更好地理解。假設我們有如下所示的樹,如果我們站在左側,可見的節點將是1、2和5。節點3和4被節點2遮擋,節點6和7被節點5遮擋。為了實現這一點,我們將使用廣度優先搜尋演算法進行層次遍歷。對於每一層,我們將從最左側開始迭代,並在每一層結束時更新一個變數,該變數的值將是最左側的值。

第1層:迭代節點1,左側沒有節點,移至下一層。節點1在這一層的左檢視中可見。

第2層:開始迭代節點4並更新變數的值。移動到節點3並更新變數的值,然後移動到節點2。節點2在這一層的左檢視中可見。

第3層:從節點7開始並更新變數的值。移動到節點6並更新變數的值,然後移動到節點5。節點5在這一層的左檢視中可見。

示例

在此程式碼中,我們實現了佇列資料結構及其函式,目前Go語言中沒有預構建的佇列庫。

package main

import "fmt"

type Queue struct {
    List [](*TreeNode)
}

type TreeNode struct {
    Val   int
    Left  *TreeNode
    Right *TreeNode
}

// function to add an element in the queue
func (q *Queue) Enqueue(element *TreeNode) {
    q.List = append(q.List, element)
}

// function to delete elements in the queue
func (q *Queue) Dequeue() *TreeNode {
    if q.isEmpty() {
        fmt.Println("Queue is empty.")
        return nil
    }
    element := q.List[0]
    q.List = q.List[1:]

    return element
}

// function checks that queue is empty or not
func (q *Queue) isEmpty() bool {
    return len(q.List) == 0
}

// function to find the length of the queue
func (q *Queue) size() int {
    return len(q.List)
}

// creating binary tree
func CreateBinaryTree(root *TreeNode) {
    n1 := TreeNode{1, nil, nil}
    n2 := TreeNode{2, nil, nil}
    root.Left = &n1
    root.Right = &n2

    n3 := TreeNode{3, nil, nil}
    n4 := TreeNode{4, nil, nil}
    n1.Left = &n3
    n1.Right = &n4

    n5 := TreeNode{5, nil, nil}
    n6 := TreeNode{6, nil, nil}
    n2.Left = &n5
    n2.Right = &n6
}

// LeftView a function with root node as argument
// and returns the left-view elements in the array
func LeftView(root *TreeNode) []int {
    // returning empty array if the tree is empty
    if root == nil {
        return []int{}
    }

    // creating variable for queue
    var q Queue

    // creating array to store right side element
    var leftView []int

    // variable to store right most value at the current level
    var Val int

    // enqueue root address in the queue
    q.Enqueue(root)
    q.Enqueue(nil)

    // breadth-first search over the tree
    for q.size() > 1 {
        currNode := q.Dequeue()
        if currNode == nil {
            q.Enqueue(nil)
            leftView = append(leftView, Val)
            continue
        }
        Val = currNode.Val

        if currNode.Right != nil {
            q.Enqueue(currNode.Right)
        }

        if currNode.Left != nil {
            q.Enqueue(currNode.Left)
        }

    }
    leftView = append(leftView, Val)

    return leftView
}

func main() {
    fmt.Println("Golang program to find the Left view of the binary tree.")

    // creating root node of binary tree
    root := TreeNode{0, nil, nil}
    // calling CreateBinaryTree function to create a complete binary tree
    CreateBinaryTree(&root)

    // calling RightView function
    leftView := LeftView(&root)

    // print right view element
    for i := 0; i < len(leftView); i++ {
        fmt.Print(leftView[i], " ")
    }
    fmt.Println()
}

輸出

Golang program to find the Left view of the binary tree.
0 1 3

結論

透過這種方式,我們使用廣度優先搜尋演算法進行層次遍歷,找到了二叉樹的左檢視。我們也可以使用深度優先搜尋演算法來查詢樹的層次遍歷。這種方法的時間複雜度為O(V + E),其中V和E分別是圖中頂點數和邊數。要了解更多關於Go語言的資訊,您可以瀏覽這些教程

更新於:2023年7月10日

瀏覽量:134

開啟您的職業生涯

完成課程獲得認證

開始學習
廣告
© . All rights reserved.