糖原
介紹
糖原是一種葡萄糖聚合物,存在於大多數哺乳動物和非哺乳動物細胞、微生物甚至一些植物中。它是重要的快速儲存葡萄糖來源。它主要儲存在脊椎動物的肝臟中,作為其他組織的葡萄糖供應。它似乎主要在肌肉中用於能量相關功能,作為糖酵解的代謝燃料,產生葡萄糖-6-磷酸。
因此,糖原作為整體和細胞能量的來源以及能量儲備至關重要。糖原的合成和分解受多種酶和激素的調節。因此,營養、運動和壓力等因素會顯著影響人體糖原的儲存。
什麼是糖原?
糖原是動物和真菌豐富的能量來源。葡萄糖具有多糖結構,將作為人體主要的葡萄糖儲存方式。糖原儲存在肝細胞和肌肉的四個水合水分隔室中並形成。它代表了另一種型別的長期能量儲存。肌肉細胞能夠快速將肌肉糖原轉化為葡萄糖,肝臟糖原也能做到這一點,使身體能夠利用葡萄糖,包括(CNS)中樞神經系統。
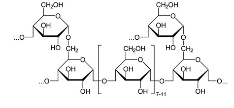
糖原的結構
糖原是葡萄糖單元的長聚合物,透過α-乙縮醛鍵連線。這種縮醛鍵是由羰基與醇基結合產生的。其中存在醛基羰基,表示為(-CHO),如果存在酮基,則稱為半縮醛。如果兩個烷氧基連線到同一個碳原子上,它就是縮醛基的一部分。糖原類似物葡萄糖聚合物在植物中充當一種能量儲存形式。其結構與更緊密堆積和更廣泛分支的澱粉直鏈澱粉相同。

糖原的結構
糖原的功能
當需要維持正常的血糖水平時,肝糖原作為儲備來儲存肝細胞產生的葡萄糖。為了在肌肉活動期間用作能量來源,來自糖原儲存的葡萄糖仍然存在於骨骼肌和心肌中。大腦星形膠質細胞中存在少量糖原。它在你睡覺時產生,並且可以在你行走時移動。在胚胎肺的II型肺泡細胞中,它發揮著特殊的功能。這些細胞可以產生肺表面活性物質,並在懷孕約26周開始產生糖原。
其他組織
除了肝臟和肌肉細胞外,糖原也少量存在於其他組織中,例如腎臟、紅細胞和白細胞。葡萄糖將保留在子宮中並儲存在糖原中,以滿足胚胎的能量需求。糖原分解後,將釋放到血液中或進入糖酵解途徑。
細菌和真菌
為了應對稀缺的環境資源,微生物如細菌和真菌已經進化出了一些能量儲存方法;在這種情況下,主要的能量儲存來源是糖原。低水平的碳、硫或磷只是導致酵母產生更多糖原的一些營養物質。在其他必需營養物質受到限制的情況下,細菌對容易獲得的碳能源做出反應,產生糖原。
糖原的代謝
由於稱為糖原穩態的嚴格控制機制,身體可以根據其能量需求釋放或保留葡萄糖。糖原的合成和分解過程分別稱為糖原合成和糖原分解。
糖原合成或糖原合成
透過將葡萄糖新增到其鏈中形成糖原的過程稱為糖原合成。尿苷三磷酸為糖原合成提供必要的能量。
葡萄糖-1-磷酸促進葡萄糖-1-磷酸轉化為葡萄糖。參與糖原合成的糖原蛋白催化 UDP 葡萄糖的附著。然後,在透過 -1,4 糖苷鍵新增葡萄糖後,糖原合酶擴充套件。稱為分支的糖原分支酶由澱粉樣蛋白 1- 4 催化至 1- 6 轉葡萄糖苷酶。
糖原分解或糖原分解
在某些酶的幫助下,將糖原分解為葡萄糖-1-磷酸的過程稱為糖原分解。透過糖原磷酸化酶的作用,一個葡萄糖分子將從化合物的非還原端移除,產生葡萄糖-1-磷酸。
磷酸葡萄糖變位酶是葡萄糖-1-磷酸轉化的必要酶,產生葡萄糖-6-磷酸。葡萄糖-1-磷酸的 C-6 將從磷酸葡萄糖變位酶的活性位點獲得磷酸基團,在那裡它將結合到絲氨酸,然後轉移。並且將釋放葡萄糖-6-磷酸。
糖原和飲食
所消耗的食物量和所進行的活動會影響產生多少糖原以及身體將如何運作。開始低碳水化合物飲食可能會導致低水平的糖原,這會導致精神睏倦和疲憊的症狀。
食用低碳水化合物飲食會導致體重顯著下降。這主要歸因於糖原,其重量是葡萄糖的 3 倍,並且主要由水組成。在飲食開始時,糖原的快速減少會導致快速的水分流失。
運動會導致身體損失大部分肌肉中的糖原,從而導致糖原耗竭。一個人可以透過進行碳水化合物載入來提高他們在運動時儲存糖原的能力,碳水化合物載入包括食用大量碳水化合物。
結論
糖原是我們體內能量的儲存庫。它是葡萄糖的聚合物,有助於維持體內的糖水平。糖原合成是糖原形成的過程。糖原的分解稱為糖原分解。體內糖原水平低會導致各種健康問題。因此,在飲食中保持糖原平衡非常重要。
常見問題
1. 糖原代謝 - 醫學生物化學頁面。2022 年檢索,來自 https:/糖原是否具有螺旋結構?
更常見的鍵,α-1,4-糖苷鍵,使糖原具有螺旋結構,這有利於儲存能量。
2. 糖原在哪裡發現?
它主要儲存在脊椎動物的肝臟中,在那裡它作為其他組織的葡萄糖儲備。
3. 為什麼糖原很重要?
身體使用糖原作為主要的能量儲備。因此,它對於所有身體功能都是必要的。
4. 當體內糖原過多時會發生什麼?
由於肝臟中積累了過多的糖原(一種源自碳水化合物的能量儲存物質),肝臟會增大。
5. 誰發現了糖原?
克勞德·伯納德於 1857 年發現了糖原。
6. 糖原合成是否發生在肝臟中?
透過調節不同的葡萄糖代謝途徑,如糖原合成、糖原分解、糖酵解和糖異生,肝臟在調節葡萄糖穩態中發揮著重要作用。
資料結構
網路
關係型資料庫管理系統
作業系統
Java
iOS
HTML
CSS
Android
Python
C 語言程式設計
C++
C#
MongoDB
MySQL
Javascript
PHP