區分理論計算機科學(TOC)中的Mealy機和Moore機
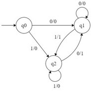
Mealy機
在Mealy機中,輸出符號取決於當前輸入符號和機器的當前狀態。
在Mealy機中,輸出以每個輸入符號表示,每個狀態用“/”分隔。
Mealy機可以用六元組 (Q, q0, Σ, O, δ, λ') 描述
其中:
- Q:有限狀態集。
- q0:機器的初始狀態。
- Σ:有限輸入字母集。
- O:輸出字母集。
- δ:狀態轉移函式,Q × Σ → Q。
- λ':輸出函式,Q × Σ → O。
在Mealy機中,輸出以每個輸入符號表示,每個狀態用“/”分隔。
Mealy機的輸出長度等於輸入長度。
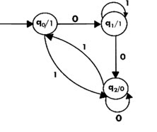
Moore機
Moore機是一種有限狀態機,其中下一個狀態由當前狀態和當前輸入符號決定。
給定時間的輸出符號僅取決於機器的當前狀態。
Moore機有六元組 (Q, q0, Σ, O, δ, λ)
其中:
- Q:有限狀態集。
- q0:機器的初始狀態。
- Σ:有限輸入符號集。
- O:輸出字母集。
- δ:狀態轉移函式,Q × Σ → Q。
- λ':輸出函式,Q → O。
區別
Mealy機和Moore機的主要區別如下:
| Mealy機 | Moore機 |
|---|---|
| 輸出取決於當前狀態和當前輸入。 | 輸出僅取決於當前狀態。 |
| 如果輸入改變,輸出也會改變。 | 如果輸入改變,輸出不會改變。 |
| 需要較少的的狀態數。 | 需要較多的狀態數。 |
| 非同步輸出生成。 | 同步輸出和狀態生成。 |
| 輸出位於轉移上。 | 輸出位於狀態上。 |
| 設計較為困難。 | 設計較為容易。 |
![]() | ![]() |
廣告
資料結構
網路
關係資料庫管理系統 (RDBMS)
作業系統
Java
iOS
HTML
CSS
Android
Python
C語言程式設計
C++
C#
MongoDB
MySQL
Javascript
PHP
