脫水合成
介紹
脫水合成描述了較大的分子從較小的反應物分子形成,同時伴隨著水分子的損失。脫水反應是縮合反應的一個子部分,其中水是最常見的副產物。在脫水合成的過程中,兩個較小的分子透過化學方式結合,同時去除兩個反應物分子的元素並形成新的共價鍵。脫水意味著水的損失,合成意味著新分子的形成。在生物系統中,脫水合成是指透過新增單體形成生物聚合物,這再次伴隨著水分子的消除。例如,氨基酸作為單體結合形成肽作為聚合物。這裡形成了一個新的共價鍵,即肽鍵,存在於兩個氨基酸分子之間。脫水合成產生了生命的基礎。脫水合成形成了許多重要的化合物,例如碳水化合物、蛋白質、DNA 和 RNA。

脫水反應是什麼意思?
脫水意味著水的損失。脫水反應是指兩個反應物分子結合產生不飽和分子以及水分子作為副產物的反應。在這個過程中,一個分子的氫離子與另一個分子的氫氧根離子結合。脫水反應只是水合反應的反向反應,其中水分子被新增到反應中。一些脫水反應的例子如下:
醇縮合形成對稱醚是脫水反應的一個常見例子。
酯化是一種特殊的脫水反應,其中羧酸和醇結合形成酯,並且水分子作為副產物形成。
$$\mathrm{2C_{2}H_{5}OH\:\leftrightarrows\:C_{2}H_{5}OC_{2}H_{5}\:+\:H_{2}O}$$
$$\mathrm{R_{1}COOH\:+\:R_{2}OH\:\rightarrow\:R_{1}COOR_{2}\:+\:H_{2}O}$$
2 個氨基酸的脫水合成
胺基和羧基作為氨基酸中的官能團。這兩個基團可以在同一個碳原子上找到。當一個氨基酸上的胺基與另一個氨基酸上的酸基結合時,就會形成醯胺鍵。在兩個氨基酸參與的脫水合成中,存在的官能團為 𝑁𝐻2 和 𝐶𝑂𝑂𝐻,聚合物肽由單體氨基酸形成。

一個氨基酸單元
其中一個氨基酸釋放出一個 𝐻+離子。然後,這個釋放的 𝐻+離子與另一個氨基酸中存在的 𝑂𝐻−離子結合。這樣,兩個單體氨基酸在兩者之間形成共價鍵,並形成二肽。所有多肽都有一個 N 末端,那裡存在一個遊離的氨基,和一個 C 末端,那裡存在一個遊離的羧基。脫水合成也可以是可逆的。水解是脫水合成可逆反應的最常見例子。

氨基酸脫水合成形成聚合物
蛋白質脫水合成
從較小的單體構建較大分子被稱為脫水合成。脫水合成過程用於產生大型生物分子,如蛋白質、碳水化合物和核酸。雖然連線單體的共價鍵的位置和立體化學從一個分子到下一個分子不會改變(蛋白質包含 21 種不同的氨基酸單體),但它們組裝的順序確實會改變。每種蛋白質都有一個獨特的序列,使每種蛋白質成為具有獨特特徵的獨特分子。
氨基酸的胺基可以與許多酸基反應形成肽鍵,它是共價鍵。新形成的酸,即由單體形成的聚合物,仍然含有一個遊離的胺基和一個遊離的羧基。因此,反應可以與更多數量的氨基酸進一步進行。氨基酸以線性鏈的形式連線在一起。結合的氨基酸的數量和結合的順序決定了蛋白質的形狀、大小和功能。
脫水合成如何促進 ATP 的形成?
三磷酸腺苷或 ATP 是一種小而簡單的分子。它是細胞的主要能量貨幣。在 ATP 合酶的幫助下,將磷酸基團新增到 ADP 以形成 ATP。這個過程稱為氧化磷酸化。三磷酸腺苷是含氮鹼基腺嘌呤、三個磷酸基團和五碳糖核糖的組合。ADP 單元與磷酸單元結合形成 ATP。此過程中 ATP 水解產生的能量用於鈉鉀泵,以跨細胞膜泵送鈉離子和鉀離子。在 ADP 脫水合成形成 ATP 的反應中,會釋放出水分子。這三個磷酸基團分別標記為 α、β 和 γ,以分別理解最接近和最遠離核糖的基團。所有這些化學基團共同構成了能量中心。ADP 與磷酸結合形成 ATP,反應如下:
$$\mathrm{ADP\:+\:P_{1}\:+\:free\:energy\:\leftrightarrows\:ATP\:+\:H_{2}O}$$

ATP 的形成或 ATP 水解形成 ADP 的脫水合成
Muessig,ADP ATP 迴圈,CC BY-SA 3.0
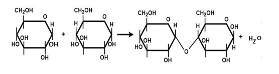
脫水合成如何導致碳水化合物聚合物的形成?
碳水化合物是由糖分子組成的聚合物,包括葡萄糖、果糖和阿拉伯糖。這些糖分子在這裡充當單體。當這種單體結合時,它會形成二聚體,例如蔗糖、乳糖、纖維素、澱粉等。單體糖分子透過形成糖苷鍵結合。這種糖苷鍵是由脫水合成過程形成的。一個糖分子的 𝑂𝐻 基團和另一個糖分子的另一個 𝑂𝐻 基團結合,在兩個分子之間形成鍵。氧原子橋在兩個分子之間形成,並釋放出一個水分子。

碳水化合物聚合物的形成
甘油三酯是如何透過脫水合成形成的?
甘油三酯(脂類)也稱為脂肪,當三個脂肪酸分子連線到一個甘油分子上時形成。甘油三酯的形成是酯化反應,它也是一種脫水合成反應。甘油分子上存在的醇基與脂肪酸上的酸基結合,形成酯鍵並釋放水。脂肪酸含有羧酸,其中一個羧基存在於至少含有四個碳原子的線性烴的末端。各種酶催化甘油三酯的脫水合成。二醯甘油醯基轉移酶 1 (DGAT1) 就是其中之一。這種酶促反應存在於哺乳動物甘油三酯合成中。

透過脫水合成形成甘油三酯
OpenStax College 220 甘油三酯-01,CC BY 3.0
結論
脫水反應是縮合反應的一個子單元。單體結合形成聚合物,同時伴隨著水分子的損失。脫水合成是指生物聚合物的形成,這再次伴隨著水分子的消除。此過程也用於建立合成聚合物,例如聚乙烯、對苯二甲酸乙二醇酯 (PET) 等。在生物系統中,脫水合成反應非常特殊,涉及 ATP、碳水化合物、蛋白質等的形成。
常見問題
1. 如果脫水合成不發生會怎樣?
脫水合成在生物系統中非常重要。如果沒有脫水反應,生命將變得困難,因為那時將不存在蛋白質、ATP、碳水化合物以及許多其他重要的生物分子。
2. 脫水合成需要什麼?
脫水合成反應形成大型和複雜的分子,通常需要能量。水解反應正好相反,在此過程中分子分解,通常會釋放能量。
3. 脫水合成是放熱反應還是吸熱反應?
在所有脫水合成反應中,小的單體結合形成大的聚合物分子,這通常需要能量。因此,脫水合成是吸熱反應。
4. 脫水反應中損失了什麼分子?
脫水反應正好是水合反應的反向反應。它是一種涉及水分損失的化學反應。脫水反應在生物系統中非常常見,其中聚合物形成並釋放水到系統中。
5. 脫水的目的是什麼?
我們在生活中有很多脫水反應的目的。這種脫水是一個非常重要的過程,可以透過它儲存許多型別的食物。透過從食物中提取水分來抑制微生物的生長,從而實現食物的無限期儲存。
資料結構
網路
關係資料庫管理系統
作業系統
Java
iOS
HTML
CSS
Android
Python
C 程式設計
C++
C#
MongoDB
MySQL
Javascript
PHP