構造一個接受在字母表 {0,1} 上的偶長度迴文串的圖靈機 (TM)?
圖靈機 (TM) 是一個 7 元組 (Q, ∑, Γ, δ, q0, qaccept , qreject)。
其中,
Q 是一個有限的狀態集。
∑ 是輸入字母表,不包含空白符號 t。
Γ 是帶字母表,其中 t ∈ Γ 且 ∑ ⊆ Γ。
δ: (Q × Γ) → (Q × Γ × {L, R}) 是轉移函式。
q0 ∈ Q 是起始狀態。
qaccept ∈ Q 是接受狀態。
qreject ∈ Q 是拒絕狀態,其中 qreject ≠ qaccept。
**為了接受在字母表 {0,1} 上的偶長度迴文串,**請按照以下步驟操作 -
匹配第一個和最後一個元素並擦除它們,繼續執行相同的操作。一旦我們在沒有任何不匹配的情況下到達空串,則該字串是偶長度迴文串。
對於偶長度迴文串,在機器執行並擦除第一個和最後一個元素且沒有遇到不匹配後,定義了一個 TM。之後,圖靈機接受該字串,該字串是偶長度迴文串。
假設字串為 -
110011
那麼,我們可以遇到三種情況,如下所示 -
**情況 1** - 如果起始和結束匹配,則擦除第一個和最後一個
擦除後 - 1001
**情況 2** - 如果起始和結束匹配,則擦除第一個和最後一個
擦除後 - 00
**情況 3** - 如果起始和結束匹配,則擦除第一個和最後一個零
擦除後剩餘 - 空串
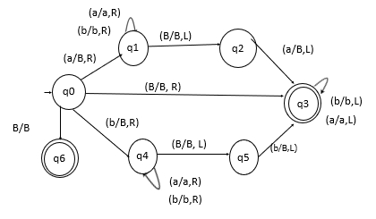
這是一個構造的圖靈機,它接受偶長度迴文串。
接受偶迴文串的 TM 的示意圖如下所示 -

廣告
資料結構
網路
關係型資料庫管理系統
作業系統
Java
iOS
HTML
CSS
Android
Python
C 程式設計
C++
C#
MongoDB
MySQL
Javascript
PHP