用 C++ 檢查有向圖是否聯通
為了檢查圖的連通性,我們將嘗試使用任何遍歷演算法遍歷所有節點。遍歷完成後,如果仍有未訪問的節點,則該圖是不連通的。

對於有向圖,我們將從所有節點開始遍歷以檢查連通性。有時一條邊可能只有外向邊,沒有內向邊,因此該節點將不會從任何其他起始節點訪問。
在這種情況下,遍歷演算法是遞迴 DFS 遍歷。
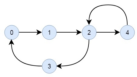
輸入 - 圖的鄰接矩陣
| 0 | 1 | 0 | 0 | 0 |
| 0 | 0 | 1 | 0 | 0 |
| 0 | 0 | 0 | 1 | 1 |
| 1 | 0 | 0 | 0 | 0 |
| 0 | 1 | 0 | 0 | 0 |
輸出 - 該圖是連通的。
演算法
traverse(u, visited) Input: The start node u and the visited node to mark which node is visited. Output: Traverse all connected vertices. Begin mark u as visited for all vertex v, if it is adjacent with u, do if v is not visited, then traverse(v, visited) done End isConnected(graph) Input: The graph. Output: True if the graph is connected. Begin define visited array for all vertices u in the graph, do make all nodes unvisited traverse(u, visited) if any unvisited node is still remaining, then return false done return true End
示例
#include<iostream>
#define NODE 5
using namespace std;
int graph[NODE][NODE] = {{0, 1, 0, 0, 0},
{0, 0, 1, 0, 0},
{0, 0, 0, 1, 1},
{1, 0, 0, 0, 0},
{0, 1, 0, 0, 0}
};
void traverse(int u, bool visited[]){
visited[u] = true; //mark v as visited
for(int v = 0; v<NODE; v++){
if(graph[u][v]){
if(!visited[v])
traverse(v, visited);
}
}
}
bool isConnected(){
bool *vis = new bool[NODE];
//for all vertex u as start point, check whether all nodes are visible or not
for(int u; u < NODE; u++){
for(int i = 0; i<NODE; i++)
vis[i] = false; //initialize as no node is visited
traverse(u, vis);
for(int i = 0; i<NODE; i++){
if(!vis[i]) //if there is a node, not visited by traversal, graph is not connected
return false;
}
}
return true;
}
int main(){
if(isConnected())
cout << "The Graph is connected.";
else
cout << "The Graph is not connected.";
}輸出
The Graph is connected.
廣告
資料結構
網路
關係資料庫管理系統
作業系統
Java
iOS
HTML
CSS
Android
Python
C 程式設計
C++
C#
MongoDB
MySQL
Javascript
PHP