什麼是佇列自動機?
佇列自動機類似於下推自動機 (PDA),只是堆疊被佇列替換。
佇列是一條磁帶,只能在左側寫入符號,只能在右側讀取符號。
每個寫操作(我們稱之為推入)都會在佇列的左側新增一個符號,每個讀操作(我們稱之為拉出)都會讀取並刪除右側的符號。
與 PDA 一樣,輸入放在單獨的只讀輸入帶上,輸入帶上的磁頭只能從左到右移動。
輸入帶包含一個帶有空白符號的單元格,該單元格位於輸入之後,以便可以檢測輸入的結尾。
佇列自動機透過在任何時間進入一個特殊的接受狀態來接受其輸入。
形式化定義
確定性佇列自動機 (DQA) 定義為七元組
(Q, Σ, Γ, δ, q0 , ⊥, F)
其中,
Q 是一組狀態,
Σ 是輸入字母表,
Γ 是一個有限的佇列符號集,
q0 是起始狀態,
⊥ 是一個空佇列符號 ⊥6= Γ,
轉移函式 δ 定義為 Q × Σ ∪ {λ} × (Γ × Γ) ∪ ({⊥} × {⊥}) → Q × Γ ∪ {λ} × {keep, remove},其中 λ 表示空符號。它絕不能用作輸入符號。
F 是一組接受狀態 (F ⊆ Q)。
示例
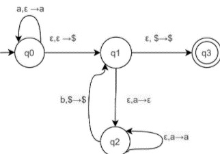
為語言 {anbn | n >= 0} 構造佇列自動機。
對於給定的語言,自動機中存在的狀態數為 4,
Q={q0,q1,q2,q3},
輸入字母表 ={a,b}
佇列自動機如下所示 -

廣告
資料結構
網路
關係型資料庫管理系統
作業系統
Java
iOS
HTML
CSS
Android
Python
C 程式設計
C++
C#
MongoDB
MySQL
Javascript
PHP