Python程式:查詢包含目標節點的最短環長度
假設我們有一個有向圖的鄰接表,其中索引為i的列表表示從節點i連線的節點。我們還有一個目標值。我們需要找到包含目標節點的最短環的長度。如果沒有解,則返回-1。
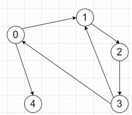
例如,輸入:

目標 = 3,則輸出為3,因為環是節點 1 -> 2 -> 3 -> 1。注意還有另一個環 0 -> 1 -> 2 -> 3 -> 0,但它不是最短的。
為了解決這個問題,我們將遵循以下步驟:
- visited := 一個新的集合
- l := 一個包含目標元素的列表。
- length := 0
- 當l非空時,執行:
- length := length + 1
- nl := 一個新的列表
- 對於l中的每個u:
- 對於graph[u]中的每個v:
- 如果v與目標相同,則
- 返回length
- 如果v已訪問,則
- 跳過本次迭代
- 標記v為已訪問
- 將v插入nl的末尾
- 如果v與目標相同,則
- 對於graph[u]中的每個v:
- l := nl
- 返回-1
讓我們看看下面的實現以更好地理解:
示例
class Solution: def solve(self, graph, target): visited = set() l = [target] length = 0 while l: length += 1 nl = [] for u in l: for v in graph[u]: if v == target: return length if v in visited: continue visited.add(v) nl.append(v) l = nl return -1 ob = Solution() graph = [[1, 4],[2],[3],[0, 1],[]] target = 3 print(ob.solve(graph, target))
輸入
[[1, 4],[2],[3],[0, 1],[]]
輸出
3
廣告
資料結構
網路
關係資料庫管理系統 (RDBMS)
作業系統
Java
iOS
HTML
CSS
Android
Python
C語言程式設計
C++
C#
MongoDB
MySQL
Javascript
PHP