作業系統中的優先順序圖
作業系統利用一種稱為優先順序圖的資料結構來顯示各種任務或程序之間的相互依賴關係。它也稱為任務依賴圖。在多工作業系統中,可能同時執行多個程序,其中一些程序可能需要等待其他程序完成才能開始執行。這些依賴關係由優先順序圖表示,它是一個有向圖,每個節點表示一個程序或任務,邊表示任務之間的依賴關係。在優先順序圖中,每個節點的標籤指示它對應的程序或任務,每條邊的標籤指示任務之間存在的依賴關係型別。
考慮以下專案相關任務列表:
建立介面。
建立資料庫程式碼。
建立前端程式碼。
建立後端程式碼。
檢查整個系統。
我們可以建立一個優先順序圖來顯示這些任務之間的相互依賴關係。在這個圖中,每個任務將表示為一個節點,依賴關係將表示為連線節點的邊。

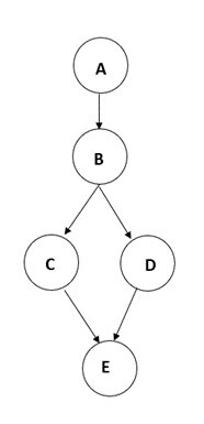
優先順序圖
由於必須先完成使用者介面設計才能實現資料庫程式碼,因此圖中的任務 A 是任務 B 的先決條件。類似地,任務 C 和 D 依賴於任務 B,因為在編寫前端或後端程式碼之前,需要先設定資料庫。最後,任務 E 依賴於所有其他任務,因為它測試的是一個完全工作的系統。
圖中的邊包含標籤,以顯示任務之間存在哪種型別的依賴關係。例如,從 A 到 B 的邊可以標記為“設計 UI”,這表示任務 A 是建立使用者介面,而任務 B(編寫程式碼)依賴於任務 A。
兩種常見的依賴關係型別:
當一個程序必須在另一個程序開始之前完成時,這稱為控制依賴。當一個任務需要另一個任務的結果才能開始時,就會發生資料依賴。排程演算法使用優先順序圖來確定應按什麼順序完成任務,從而確保效率和及時的完成。
優先順序圖的功能
作業系統的優先順序圖可以執行許多功能,其中一些列在下面:
任務依賴關係的表示
優先順序圖經常用於多工作業系統中,以顯示任務或程序之間的關係。該圖直觀地顯示了任務之間的關係以及必須完成的順序。
任務排程
任務排程演算法也使用優先順序圖來確定應按什麼順序完成任務。透過顯示哪些任務可以併發完成以及哪些任務必須等待其他任務完成,該圖使排程程式能夠最佳化任務執行並提高系統性能。
下面的程式碼演示瞭如何建立一個簡單的優先順序圖並使用它來優先處理佇列中的任務:
from queue import PriorityQueue
graph = {
'A': set([]),
'B': set(['A']),
'C': set(['A']),
'D': set(['B', 'C']),
'E': set(['D'])
}
queue = PriorityQueue()
queue.put(('A', 0))
while not queue.empty():
task, priority = queue.get()
print(“ Undergoing Task", task)
for dependent_task in graph[task]:
queue.put((dependent_task, priority+1))
輸出
Undergoing Task A Undergoing Task B Undergoing Task C Undergoing Task D Undergoing Task E
程式建立一個包含節點和邊的圖,然後使用優先順序佇列對從節點“A”開始的圖進行廣度優先搜尋。它按訪問順序打印出每個訪問的節點。在本例中,節點按以下順序訪問:A、B、C、D 和 E。
死鎖檢測
優先順序圖可用於識別系統中的死鎖。當兩個或多個任務以迴圈方式相互依賴時,就會發生死鎖。透過檢查優先順序圖,可以發現死鎖並透過消除一個或多個迴圈依賴來解決死鎖。
def detect_deadlock(graph):
for task in graph.keys():
visited = set([])
if dfs(graph, task, visited):
return True
return False
def dfs(graph, task, visited):
visited.add(task)
for dependent_task in graph[task]:
if dependent_task in visited or dfs(graph, dependent_task, visited):
return True
visited.remove(task)
return False
if detect_deadlock(graph):
print("Deadlock has been detected!")
else:
print("No deadlock cannot be detected.")
No deadlock cannot be detected.
資源分配
優先順序圖可用於分配系統資源,包括記憶體、CPU 時間和 I/O 裝置。系統可以分析該圖以確定每個任務需要的資源,然後相應地分配資源,確保每個任務都有完成所需資源。
效能分析
優先順序圖可用於效能分析,方法是識別瓶頸和系統中效率低下的區域。系統可以透過分析該圖來查詢比計劃時間更長或使用比必要資源更多的任務,從而改進其效能。
優先順序圖的未來前景
作業系統長期以來一直使用優先順序圖來表示任務之間的相互依賴關係,並改進資源分配和排程。然而,隨著技術的不斷進步,預計優先順序圖在作業系統中的未來應用將會增加。未來,作業系統中的優先順序圖可用於以下場景:
大資料處理
隨著收集的資料量呈指數級增長,預計優先順序圖將在越來越多的情況中被用於大資料處理系統。優先順序圖可以表示資料處理管道中任務之間的關係,從而實現有效的排程和資源分配。
即時系統
即時系統(例如機器人和自動駕駛汽車中使用的系統)需要精確的資源分配和排程。優先順序圖可以表示即時系統中操作之間的相互依賴關係,從而實現更有效的排程和資源分配。
機器學習
使用機器學習的演算法通常會處理大型資料集,並需要大量的計算能力。優先順序圖可以表示機器學習管道中任務之間的關係,從而實現有效的排程和資源分配。
分散式系統
分散式系統(例如雲計算中使用的系統)需要在多個節點之間有效地分配資源和排程任務。優先順序圖可以表示分散式系統中任務之間的相互依賴關係,從而實現更有效的排程和資源分配。
容錯
透過識別關鍵任務並確保這些任務得到適當的規劃和資源分配,優先順序圖可以用來提高作業系統的容錯能力。在發生故障的情況下,優先順序圖可用於決定哪些任務需要重新排程或恢復。
因此,優先順序圖是顯示作業系統中任務依賴關係的有效工具,並且隨著這些系統的改進和新應用程式的不斷建立,它們的潛力無疑會越來越大。
總結
簡而言之,作業系統使用優先順序圖來顯示系統中任務之間的相互依賴關係。這些圖將任務之間的互動表示為有向無環圖,其中每個節點表示一個任務,節點之間的邊表示任務之間的依賴關係。優先順序圖對於任務排程和資源分配非常有用,因為它們允許作業系統根據任務的依賴關係來確定應按什麼順序執行任務。它們還有助於提高作業系統的容錯能力,方法是識別關鍵任務並確保它們得到適當的規劃和資源分配。它們易於視覺化和理解,因此可應用於許多領域,包括大資料處理、即時系統等。
資料結構
網路
關係資料庫管理系統 (RDBMS)
作業系統
Java
iOS
HTML
CSS
Android
Python
C語言程式設計
C++
C#
MongoDB
MySQL
Javascript
PHP