在 C++ 中使用 cmath 的誤差函式
我們給出了變數,任務是使用 C++ STL 中提供的誤差函式來找出該變數的機率。該函式在 C++ 的 cmath 標頭檔案中提供。
什麼是誤差函式?
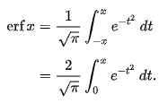
數學中的誤差函式也稱為高斯誤差函式,用 erf() 表示。它是一個特殊函式,用於機率、統計和偏微分方程中計算可能發生的誤差。其定義為 −

有兩種密切相關的誤差函式 −
- 互補誤差函式 − 其定義為erfc x = 1 - erf x
- 虛誤差函式 − 其定義為erfi x = -ierf(ix),其中 i 是虛數單位
示例
輸入
i = 2.25
輸出
erf(i) i.e. 0.998537
輸入
i = 1.25
輸出
erf(i) i.e. 0.9229
示例
#include <iostream>
#include <cmath>
using namespace std;
double probab(double i){
double probab_1 = erf(i);
return probab_1;
}
int main (){
double i = 2.25;
cout<<"Probability is :"<<probab(i)<< endl;
return 0;
}輸出
Probability is : 0.998537
示例
#include <iostream>
#include <cmath>
using namespace std;
double probab(double i){
double probab_1 = erf(i);
return probab_1;
}
int main (){
double i = 1.25;
cout<<"Probability is :"<<probab(i)<< endl;
return 0;
}輸出
Probability is : 0.9229
廣告
資料結構
網路
RDBMS
作業系統
Java
iOS
HTML
CSS
Android
Python
C 程式設計
C++
C#
MongoDB
MySQL
Javascript
PHP