樹的中心
樹的中心是一個離心率最小的頂點。樹G中頂點X的離心率是頂點X與樹中任何其他頂點之間的最大距離。最大離心率是樹的直徑。如果樹只有一箇中心,則稱為中心樹;如果樹有多箇中心,則稱為雙中心樹。每棵樹要麼是中心樹,要麼是雙中心樹。
查詢樹的中心和雙中心的演算法
步驟1 - 從給定的樹中移除所有度為1的頂點及其關聯邊。
步驟2 - 重複步驟1,直到剩下單個頂點或由一條邊連線的兩個頂點。如果剩下單個頂點,則它是樹的中心;如果剩下由一條邊連線的兩個頂點,則它們是樹的雙中心。
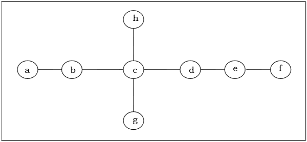
問題1
找出以下樹的中心/雙中心:

解答
首先,我們將移除所有度為1的頂點及其關聯邊,得到以下樹:

再次,我們將移除所有度為1的頂點及其關聯邊,得到以下樹:

最終我們得到單個頂點'c',演算法停止。由於只有一個頂點,這棵樹只有一箇中心'c',這棵樹是中心樹。
問題2
找出以下樹的中心/雙中心:

解答
首先,我們將移除所有度為1的頂點及其關聯邊,得到以下樹:

再次,我們將移除所有度為1的頂點及其關聯邊,得到以下樹:

最終,我們剩下兩個頂點'c'和'd',因此演算法停止。由於剩下兩個由一條邊連線的頂點,這棵樹的雙中心是'cd',這棵樹是雙中心樹。
廣告
資料結構
網路
關係型資料庫管理系統 (RDBMS)
作業系統
Java
iOS
HTML
CSS
Android
Python
C語言程式設計
C++
C#
MongoDB
MySQL
Javascript
PHP